Algebra 2

Wednesday, June 30, 2010

GRAPHING INEQUALITIES






















Posted by Cooper at 9:52 PM No comments:

Sunday, June 6, 2010

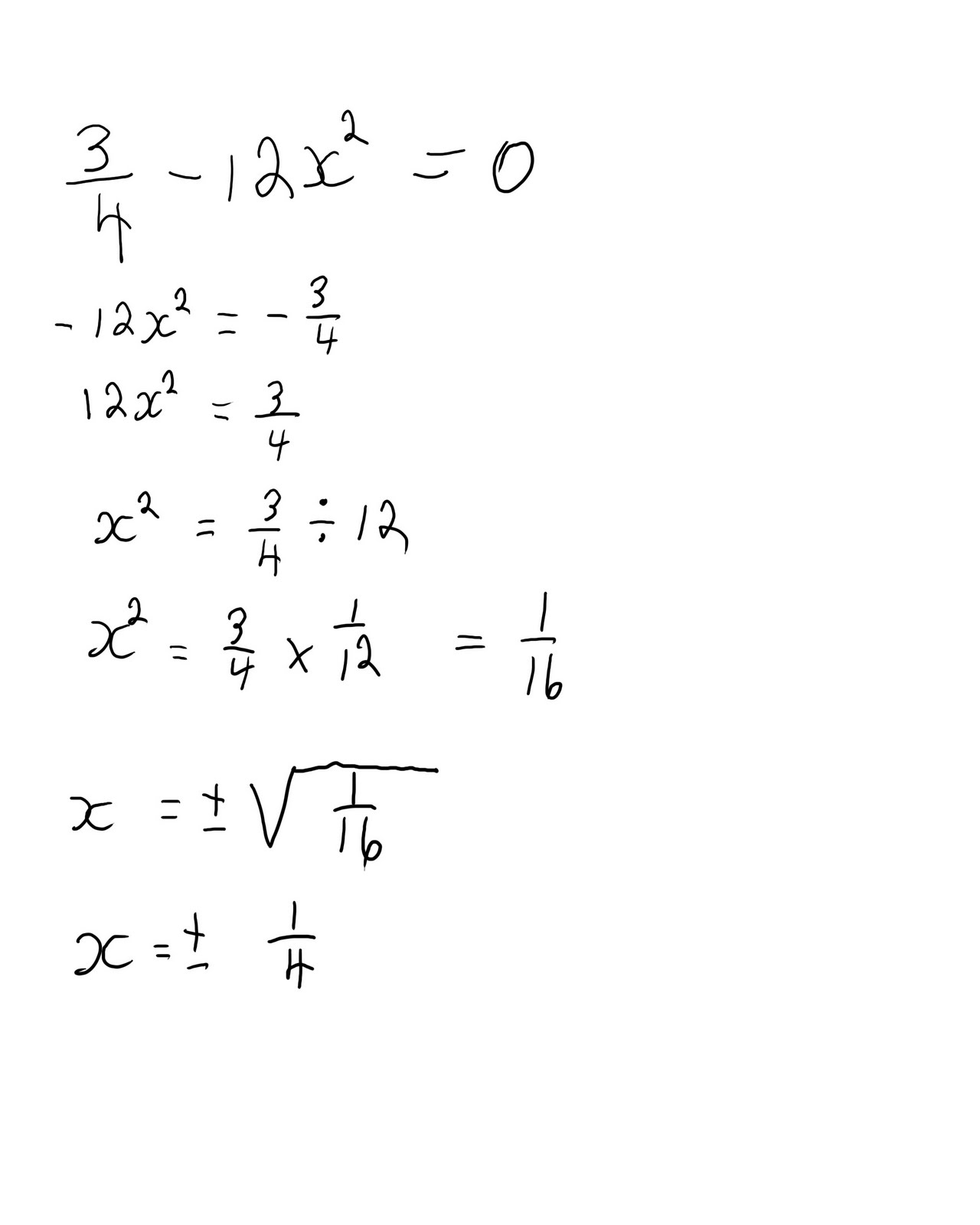
Quadratic Equation




Posted by Cooper at 11:27 PM No comments:
Newer Posts Older Posts Home
Subscribe to: Comments (Atom)

Blog Archive

  • ▼  2010 (10)
    • ►  July (2)
    • ▼  June (2)
      • GRAPHING INEQUALITIES
      • Quadratic Equation
    • ►  May (1)
    • ►  April (5)
  • ►  2009 (1)
    • ►  January (1)
  • ►  2008 (3)
    • ►  December (1)
    • ►  February (1)
    • ►  January (1)
  • ►  2007 (7)
    • ►  November (5)
    • ►  October (1)
    • ►  September (1)

About Me

My photo
Cooper
High school math teacher. When I'm not teaching I like painting, Photoshopping, birding and playing the guitar.
View my complete profile
Awesome Inc. theme. Powered by Blogger.